반응형
효율적인 알고리즘을 짜려면?
알고리즘이 시작하여 결과가 나올 때까지의 수행시간이 짧으면서 컴퓨터의 자원(ex:메모리)을 덜 사용하도록 짜야한다.
-> 즉, 알고리즘을 짤때 수행시간과 기억공간을 분석하여 시간 효율성과 공간 효율성을 고려해야함
공간 복잡도(space complexity)
알고리즘이 사용하는 기억 공간 분석
시간 복잡도(time complexity) ★
알고리즘의 수행 시간 분석 => 알고리즘의 효율성을 이야기할때 주로 시간 복잡도를 고려
절대적인 수행 시간을 나타내는 것이 아닌 알고리즘을 이루는 연산이 몇 번 수행되는지를 숫자로 표시함
- 시간 복잡도 함수 : 연산의 수행 횟수는 보통 입력의 개수에 따라 달라지기 때문에 n에 대한 함수로 나타냄. 이 함수를 시간복잡도 함수라고 하며 T(n)으로 표기
EX) 양의 정수 n을 n번 더하는 문제의 세 가지 알고리즘의 연산 횟수 비교
| 알고리즘 A | 알고리즘 B | 알고리즘 C |
| sum <- n*n; | for i<-1 to n do sum <- sum + n; |
for i<- 1 to n do for j<- 1 to n do sum <- sum +1 ; |
| 알고리즘 A | 알고리즘 B | 알고리즘 C | |
| 대입연산 | 1 | n | n*n |
| 덧셈연산 | n | n*n | |
| 곱셈연산 | 1 | ||
| 전체 연산 수 | 2 | 2n | 2n^2 |
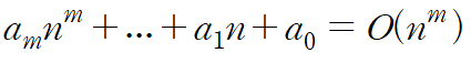
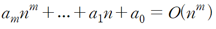
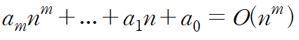
빅오 표기법 : O(n)
- 보통 자료의 개수가 큰 경우 시간 복잡도 함수에서 차수가 가장 큰 항이 전체의 값에 영향을 주기 때문에 (예를 들어 T(n)=n^2+n+1에서 n=1000이면 n^2=1000000이고 n=1000이기 때문에 n은 n^2의 0.1%로 T(n)에 n^2에 비해 영향을 적게 줌) 차수가 가장 큰 항을 기준으로 시간 복잡도를 표시하는 방법
- 연산의 횟수를 대략적(점근적)으로 표기한 것
- n에 비례하는 수행시간을 가진다고 했을 때 알고리즘의 시간 복잡도를 O(n)이라고 표기
- O(n) 을 빅오 of n이라고 읽는다.
- 다항식의 최고 차항의 계수, 다른 항들과 상수항을 버리고 최고차항의 차수만을 사용한다 .예를 들어 f(n)=3n^2+100이면 O(n)=n^2

- 빅오 표기법의 종류

반응형
'⚙️ 알고리즘 > 개념 정리' 카테고리의 다른 글
| [알고리즘/C] 삽입정렬(insertion sort) (0) | 2020.07.30 |
|---|---|
| [알고리즘/C] 버블 정렬(bubble sort) (0) | 2020.07.30 |
| [알고리즘/C] 이진탐색(binary search) (0) | 2020.07.23 |
| [알고리즘] 순환(recursion) (0) | 2020.07.22 |
| [알고리즘] 알고리즘 효율성 - 최선, 평균, 최악의 경우 (0) | 2020.07.22 |